Назад
Кондиціонери
Кондиціонери за типами приміщень
- Кондиціонери для квартири
- Кондиціонери для приватного будинку
- Кондиціонери для котеджу
- Кондиціонери для великих приміщень
- Кондиціонери для дачі
- Кондиціонери для офісу
- Кондиціонери для серверної
- Кондиціонери для складу
- Кондиціонери для гаража
- Кондиціонери для кухні
- Кондиціонери для спальні
- Кондиціонери для дитячої кімнати
- Кондиціонери для кімнати
Кондиціонери за призначенням
- Кондиціонери сучасні
- Кондиціонери тихі
- Кондиціонери на холод
- Кондиціонери на тепло
- Кондиціонери зима-літо
- Кондиціонери з WI-FI
- Кондиціонери з іонізатором
- Кондиціонери з припливною вентиляцією
- Кондиціонери із зволоженням повітря
- Кондиціонери з очищенням повітря
- Кондиціонери з осушувачем повітря
Побутові кондиціонери
- Кондиціонери on/off
- Кондиціонери інверторні
- Теплові насоси повітря-повітря
- Консольні кондиціонери
- Настінні кондиціонери
- Дизайнерські кондиціонери
- Дешеві кондиціонери
- Моноблочні кондиціонери
Напівпромислові кондиціонери
- Касетні кондиціонери
- Канальні кондиціонери
- Підлогово-стельові кондиціонери
Мульти-спліт системи
- Готові комплекти мульти-спліт системи
- Внутрішній блок
- Зовнішній блок
Комплектуючі для промислових кондиціонерів
Комплектуючі для кондиціонерів
- Аксесуари для кондиціонерів
- Внутрішній блок кондиціонера
- Зовнішній блок кондиціонера
Кліматична техніка
Вентиляція
- Вентиляційні установки
- Комплектуючі для систем вентиляції
Обігрівачі
- Електрообігрівачі
Водонагрівачі
- Бойлери
Осушувач повітря
Очищувач повітря
Електрична тепла підлога
Нагрівальні мати під плитку
Алюмінієві мати під ламінат
Нагрівальний кабель під плитку
Нагрівальний кабель у стяжку
Системи антизледеніння
Регулятори теплої підлоги
Електрообладнання
Портативні джерела живлення
Сонячні інвертори
- Гібридні інвертори
- Автономні інвертори
Акумуляторні батареї
- Літієві батареї
Сантехніка
Рушникосушарки
- Рушникосушки водяні
- Сушки для рушників електричні
Електричні сушарки
- Електричні сушарки для взуття
- Електричні сушарки для одягу
Трапи для душу
Аксесуари для ванної кімнати
- Рушникотримачі
- Поручні для ванни
- Полиці для ванної
- ТЕНи до рушникосушки
- Крани для рушникосушарки
Послуги
Монтаж кондиціонерів
Демонтаж кондиціонерів
Ремонт кондиціонерів
Чистка кондиціонерів
Заправка кондиціонерів фреоном
Діагностика кондиціонерів
Прокладання магістралі кондиціонера
Виробники
Arti
Aspira
Climtec
Cooper&Hunter
Daikin
Deffi
Ergo
EWT Clima
FISCHER
Fujico
Fujitsu
Gorenje
GREE
Haier
Haitech
Heat Wave
Hoapp
Jackery
Laris
Magnum Heating
Mario
Mitsubishi Electric
Mycond
OLMO
Prana
Roda
Sinclair
Skyworth
Sun Way
TCL
TEPLOCeramic
Tosot
UDEN-S
Zanussi
Назад
Про компанію
Доставка
Оплата та повернення
Гарантія
Контакти
Установка і монтаж
Як замовити товар
Акції
Новини
Блог
Відгуки
Інформація
Про компанію
Доставка
Оплата та повернення
Гарантія
Контакти
Мова
УКРАЇНСЬКА
РУССКИЙ
Порівняння
0
Мої закладки
0
Особистий кабінет
Авторизація
Реєстрація
Інтернет-магазин
«ProPlus»
Скрізь
Скрізь
Кондиціонери
Кліматична техніка
Електрична тепла підлога
Електрообладнання
Сантехніка
Послуги
Графік: с Пн по Пт
з 9:00 до 18:00
+38 (099)
442-42-45
+38 (068)
442-42-45
м. Київ, проспект Миколи Бажана 14, оф. 9
info@kkplus.shop
«ProPlus» | інтернет-магазин кліматичної техніки та кондиціонерів kkplus.shop
Замовити зворотній дзвінок
Написати в:
Скрізь
Скрізь
Кондиціонери
Кліматична техніка
Електрична тепла підлога
Електрообладнання
Сантехніка
Послуги
Каталог
товарів
Каталог
товарів
Кондиціонери
Кондиціонери за типами приміщень
Кондиціонери за призначенням
Побутові кондиціонери
Напівпромислові кондиціонери
Мульти-спліт системи
Комплектуючі для промислових кондиціонерів
Комплектуючі для кондиціонерів
Кліматична техніка
Вентиляція
Обігрівачі
Водонагрівачі
Осушувач повітря
Очищувач повітря
Електрична тепла підлога
Нагрівальні мати під плитку
Алюмінієві мати під ламінат
Нагрівальний кабель під плитку
Нагрівальний кабель у стяжку
Системи антизледеніння
Регулятори теплої підлоги
Електрообладнання
Портативні джерела живлення
Сонячні інвертори
Акумуляторні батареї
Сантехніка
Рушникосушарки
Електричні сушарки
Трапи для душу
Аксесуари для ванної кімнати
Послуги
Монтаж кондиціонерів
Демонтаж кондиціонерів
Ремонт кондиціонерів
Чистка кондиціонерів
Заправка кондиціонерів фреоном
Діагностика кондиціонерів
Прокладання магістралі кондиціонера
Виробники
Arti
Aspira
Climtec
Cooper&Hunter
Daikin
Deffi
Ergo
EWT Clima
FISCHER
Fujico
Fujitsu
Gorenje
GREE
Haier
Haitech
Heat Wave
Hoapp
Jackery
Laris
Magnum Heating
Mario
Mitsubishi Electric
Mycond
OLMO
Prana
Roda
Sinclair
Skyworth
Sun Way
TCL
TEPLOCeramic
Tosot
UDEN-S
Zanussi
Установка і монтаж
Як замовити товар
Акції
Новини
Блог
Відгуки
Кошик
: 0
Кошик
: 0
Ваш кошик порожній!
breadcrumbs_revolution_theme
...
Головна
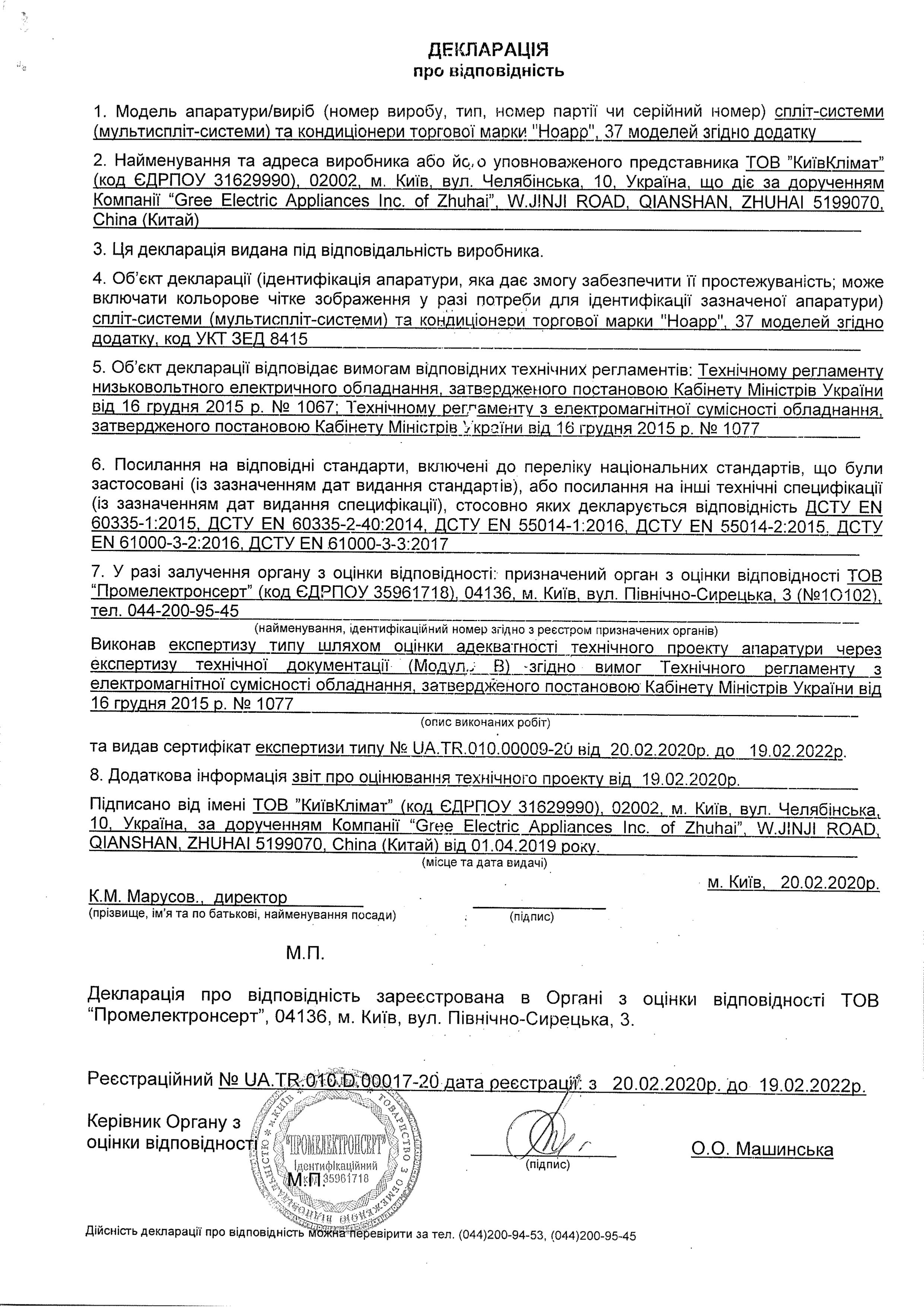
Сертифікати Hoapp
×
Замовити послугу
Ваше ім'я
Телефон
На коли:
×
Виклик майстра
Виберіть послугу
--- Виберіть ---
Монтаж кондиціонера
Демонтаж кондиціонера
Ремонт кондиціонерів
Чищення кондиціонерів
Заправка кондиціонерів
Діагностика кондиціонера
Прокладка магістралі для кондиціонера
Ім'я
Телефон
×
Чекаю дзвінка
Ваше ім'я
Телефон
Сертифікати Hoapp
Показати ще